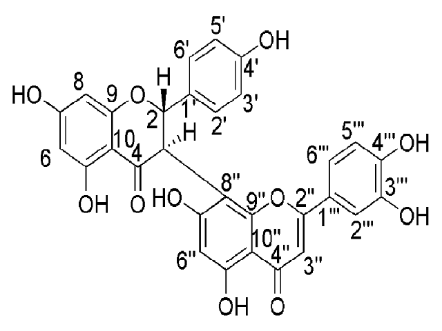
Background: Garcinia schomburgkiana is a conventionally used as an herb for the treatment of diabetes, coughs, and menstrual disturbances. Objectives: The study was to examine in vitro antioxidant potentials and inhibitory effect against α-amylase and α-glucosidase of the bark, fruit, and leaf extracts of G. schomburgkiana using different traditional extraction methods and investigate the bioactive compound using spectroscopic and chromatographic techniques. Materials and Methods: The extracts were prepared by maceration with 80% ethanol and decoction with distilled water. The anti-free radical activities of the extracts were tested through decolorization of 2,2-diphenyl-2-picrylhydrazyl (DPPH), 2,2'-azino-bis (3-ethylbenzothiazoline-6-sulphonic acid) (ABTS), and lipid peroxidation assays. The active compound was elucidated and quantified. Results: The ethanolic bark extract displayed the highest activities of DPPH, ABTS, lipid peroxidation, α-glucosidase, and α-amylase inhibition assays with EC50 values of 28.96 ± 1.62, 9.79 ± 0.14, 574.89 ± 14.68, 20.40 ± 1.33 and 2.81 ± 0.43 μg/mL, respectively. Thus, the ethanolic bark extract was selected to assess the bioactive compound by bioactivity-guided isolation. The active biflavonoid, named morelloflavone, was isolated and elucidated. Morelloflavone exhibited high activities comparable with positive controls (ascorbic acid and acarbose). Moreover, the content of morelloflavone from different extracts was analyzed by high-performance liquid chromatography. The bark maceration with ethanol yielded the highest contents of morelloflavone. Conclusion: The bark ethanolic extract of G. schomburgkiana has more potentials than other extracts. The isolated compound demonstrated the strong activities and could be the alternative source of natural antioxidants and α-amylase and α-glucosidase inhibitor.