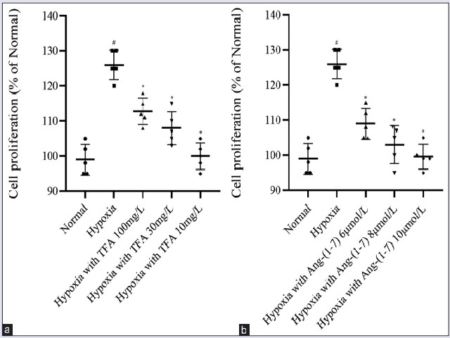
The total flavones of Abelmoschus manihot inhibit reactive proliferation of astrocytes following cerebral ischemia
Cite This Article
Vancouver Style
. The total flavones of Abelmoschus manihot inhibit reactive proliferation of astrocytes following cerebral ischemia. Pharmacognosy Magazine [Internet]. 2022;18(79):752-757. http://www.phcog.com/text.asp?2022/18/79/752/356407