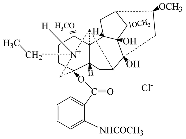
Lappaconitine hydrochloride induces apoptosis and S phase cell cycle arrest through MAPK signaling pathway in human liver cancer HepG2 cells
Cite This Article
Vancouver Style
. Lappaconitine hydrochloride induces apoptosis and S phase cell cycle arrest through MAPK signaling pathway in human liver cancer HepG2 cells. Pharmacognosy Magazine [Internet]. 2021;17(74):334-341. http://www.phcog.com/text.asp?2021/17/74/334/321231