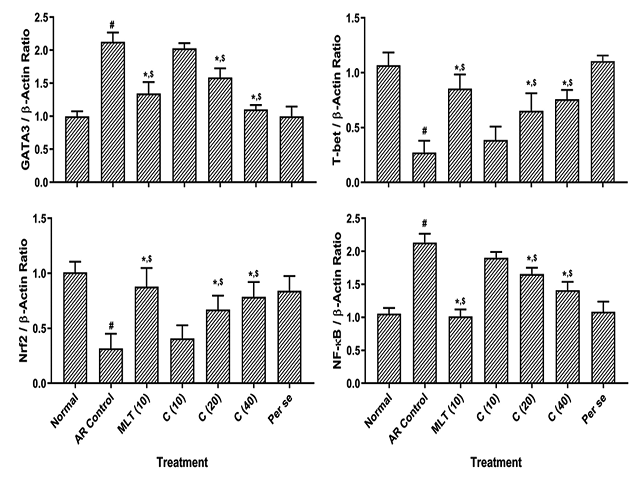
Background: Rhinitis is an allergen-induced, immunoglobulin E (IgE)-mediated, chronic immune-inflammatory disease affecting individuals worldwide. Chrysin has been well documented for its anti-allergic potential. Aim: This study aimed to determine the efficacy and mechanism of action of chrysin against allergic rhinitis (AR) induced by ovalbumin (OVA) in experimental mice. Materials and Methods: Induction of AR was performed in BALB/c mice via intraperitoneal administration sensitization and intranasal challenge with of OVA. Chrysin was concomitantly administered in mice at doses of 10, 20, and 40 mg/kg, p.o. Results: OVA challenge caused statistically significant (P < 0.05) increase in nasal rubbing, sneezing, and discharge as well as elevated serum histamine, β-hexosaminidase, IgE (OVA-specific and total) levels, whereas chrysin treatment at a dose of 20 and 40 mg/kg significantly (P < 0.05) inhibited these biomarkers and thus reduced nasal symptoms. The elevated total and differential cell count, splenic oxido-nitrosative stress, and myeloperoxidase levels after OVA administration decreased statistically significantly (P < 0.05) by chrysin. There was a significant increase in the levels of tumor necrosis factor-alpha (TNF-α), interleukin (IL)-4, IL-1β, IL-4/interferon-gamma, IL-6, and IL-13 in nasal lavage fluid after OVA challenge, which was inhibited statistically significantly (P < 0.05) by chrysin. It also statistically significantly (P < 0.05) downregulated spleen GATA-3 and nuclear factor-kappa B (NF-κB), whereas upregulated T-box protein expressed in T cells (T-bet) and nuclear factor erythroid 2-related factor 2 (Nrf2) mRNA expression in spleen. Histological alteration induced in nasal and spleen tissue after OVA challenge was statistically significantly (P < 0.05) ameliorated by chrysin treatment. Conclusion: Chrysin modulated GATA-3/T-bet pathways and inhibited NF-κB activation, thus attenuating the release of various inflammatory mediators (TNF-α, IL-1β, histamine, IgE, and β-hexosaminidase), Th2 cytokines (ILs), and oxido-nitrosative stress (Nrf2) to exert its anti-allergic potential in experimental AR.