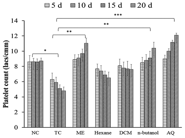
Background: Psidium guajava L. (family: Myrtaceae) is a traditionally used medicinal plant and possesses various therapeutic properties. This study was aimed to explore the antithrombocytopenic potential of bioactive fraction of P. guajava L. Materials and Methodology: Hydroalcoholic extract of dried leaves was prepared through soxhlation, and further, it was fractionated. Hydroalcoholic extract and its fractions were tested for antithrombocytopenic potential in busulfan-treated rats. Bioactive fractions were metabolically characterized through ultra-performance liquid chromatography–mass spectrometry (UPLC-MS) and. Results: A total of 30.3% w/w hydroalcoholic extract was obtained from which 5.7%, 4.2%, 8.6%, and 11.8% w/w of n-hexane, dichloromethane, n-butanol, and aqueous fractions were collected, respectively. n-butanol and aqueous fractions were identified as the potent bioactive fractions as antithrombocytopenic agents. Using toluene:ethyl acetate:formic acid (6:3:1 v/v/v) as a solvent system in TLC, 12 and 9 metabolites were separated in n-butanol and aqueous fractions, respectively, whereas 11 and 12 metabolites were tentatively identified through UPLC-MS in aqueous and n-butanol fractions, respectively. Five metabolites (showing m/z values of 303.05, 302.5, 313.2, 573.51, and 341.32 eluted at 2.80, 3.81, 7.94, 8.55 and 8.69 min, respectively) were found in both aqueous and n-butanol fractions. Conclusion: Chromatographically characterized n-butanol and aqueous fractions of hydroalcoholic extract of P. guajava increased platelet count, and it can be further explored for the development of new phytopharmaceutical.