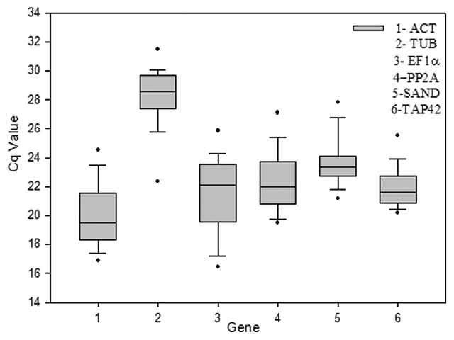
Background: Artemisinin, an antimalarial compound suggested by the WHO to treat drug-resistant malaria, was obtained from Artemisia annua L. plants. However, due to the low level of artemisinin in the plant causes limitation to its commercialization, so to increase the concentration of artemisinin, two transgenic lines were developed by us, overexpressing the key genes of artemisinin biosynthetic pathway, namely, 3 S-hydroxy-3-methyl glutaryl-CoA reductase (HMGR), amorpha-4,11-diene synthase (ADS) (Trans. 1) and HMGR, ADS, and CYP71AV1 (cytochrome P450 monooxygenase) (Trans. 2). Objectives: Our main aim for this study was to select the suitable reference gene for the normalization of reverse transcription-quantitative polymerase chain reaction ( Reverse transcription RT-qPCR) data in different tissues at various developmental stages in A. annua L. plants. Materials and Methods: Six candidate reference genes, namely; β-actin (ACT), elongation factor 1-alpha (EF1α), TAP-42 interacting protein (TAP42), SAND family protein, β-tubulin, and protein phosphatase 2A (PP2A) for their expression stability in the root, stem, leaf, and flower of A. annua L. plants at vegetative, preflowering, and flowering stages were analyzed using geNorm, NormFinder and BestKeeper, the Excel-based research tools. Results: The genes ACT/PP2A, PP2A/TAP42, and EF1α/PP2A were appropriate as reference genes in the leaf tissues at vegetative, preflowering, and flowering stages, respectively. In addition, EF1α/PP2A genes at vegetative and flowering stage, while EF1α/TAP42 gene at preflowering stage was found suitable reference genes for normalization of expression data in the stem. In the root samples, ACT/EF1α, EF1α/PP2A, and ACT/TAP42 sets were found to be reliable reference genes at vegetative, preflowering, and flowering stages, respectively, whereas, PP2A/TAP42 gene set was found suitable for flower tissues at flowering stage. Conclusion: These results will be helpful in the normalization of expression data in RT-qPCR to find the reliable outcome.