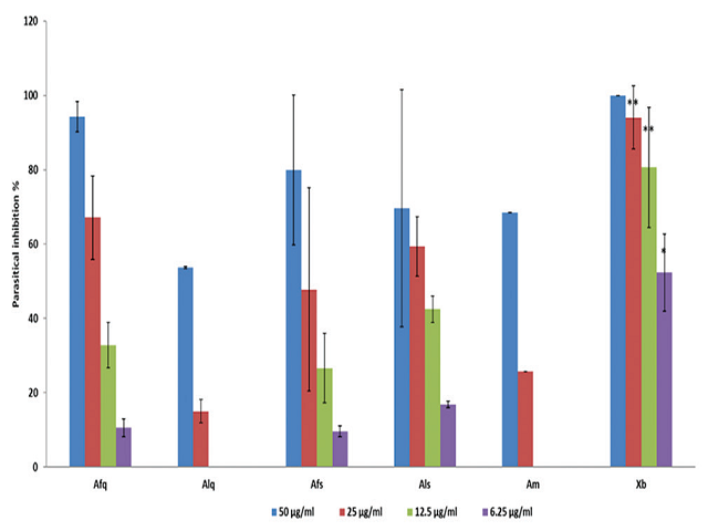
In vitro antitoxoplasmal activity of some medicinal plants
Cite This Article
Vancouver Style
. In vitro antitoxoplasmal activity of some medicinal plants. Pharmacognosy Magazine . 2019;15(65):568-572.
. In vitro antitoxoplasmal activity of some medicinal plants. Pharmacognosy Magazine . 2019;15(65):568-572.