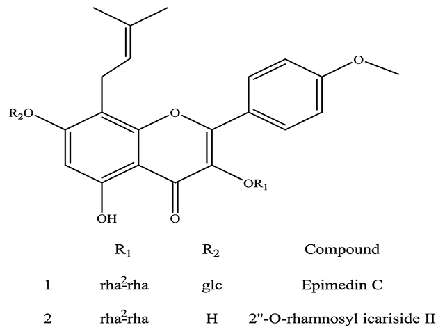
Convenient preparation of 2″-O-rhamnosyl icariside II, a rare secondary flavonol glycoside, by recyclable and integrated biphase enzymatic hydrolysis
Cite This Article
Vancouver Style
. Convenient preparation of 2″-O-rhamnosyl icariside II, a rare secondary flavonol glycoside, by recyclable and integrated biphase enzymatic hydrolysis. Pharmacognosy Magazine . 2019;15(60):147-155.