Pharmacognosy Magazine, Vol 16, Issue 72, Oct-Dec 2020

Recent Articles

Original Article

Aqueous leaf extract of Clinacanthus nutans inhibits growth and induces apoptosis via the intrinsic and extrinsic pathways in MDA-MB-231 human breast cancer cells

Marilyn Jane Yong,Ahmad Zaidi Tani,Falah Abass Moha Salih,Rahmawati Pare,Rina Norgainathai,Siat Yee Fong

Pharmacognosy Magazine,16(72):689-694
DOI: 10.4103/pm.pm_121_20
Published: February 16, 2021
Read More
Original Article

Anwulignan from the fruits of Schisandra chinensis and its cytotoxicity against human cancer cell lines

Yeong-Geun Lee,Rong Bo Wang,Hyoung-Geun Kim,Dae-Young Lee,Yeon-Ju Kim,Nam-In Baek

Pharmacognosy Magazine,16(72):695-699
DOI:
Published: February 16, 2021
Read More
Original Article

Ethanol extract of Thuja orientalis L. seeds ameliorated skin lesions in a dinitrofluorobenzene-induced mouse model of contact dermatitis

Kukhwa Kim,Daniel Lee,Yoonhyoung Kang,Seonkyung Jang,Seung-Jeong Yang,Hyungwoo Kim

Pharmacognosy Magazine,16(72):700-705
DOI: 10.4103/pm.pm_245_20
Published: February 16, 2021
Read More
Original Article

The effects of Elateriospermum tapos against obese maternal rat in mitigating obesity development among their adult female offspring

Hasnah Bahari,Azrina Zainal Abidin,Santhra Segaran Balan,Kokila Vani Perumal,Nurain Syahirah Rosli,Amalia Hazirah Ah Lotafi,Sharmmila Danabala,Malarmugila Manimaran,Nurul Husna Shafie,Maizaton Atmadini Abdullah,Azmiza Syawani Jasni

Pharmacognosy Magazine,16(72):706-712
DOI: 10.4103/pm.pm_142_20
Published: February 16, 2021
Read More
Original Article

Bioactivity-guided isolation, characterization, and estimation of esculetin – A Potential Marker from Launaea pinnatifida cass

Himanshu Makwana,Devang Pandya

Pharmacognosy Magazine,16(72):713-721
DOI: 10.4103/pm.pm_264_20
Published: February 16, 2021
Read More
Original Article

Preclinical study on effects of Acalypha indica on streptozotocin-induced liver damage in diabetic rats

Singamala Hari Prasad,Ganjikunta Venkata Subbaiah,Sahukari Ravi,Boreddy Venu Gopal Reddy,Bhasha Shanmugam,Kesireddy Sathyavelu Reddy

Pharmacognosy Magazine,16(72):722-729
DOI: 10.4103/pm.pm_272_20
Published: February 16, 2021
Read More
Original Article

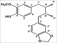
Isolation of new diterpene from methanolic extract of Capsicum annuum Linn. fruits

Neeraj Kumar Fuloria,Shivkanya Fuloria,Vijay Kumar Sharma,Mohammed Ali,Amit Singh,Pradeep Kumar Sharma

Pharmacognosy Magazine,16(72):730-732
DOI: 10.4103/pm.pm_250_20
Published: February 16, 2021
Read More
Original Article

Astaxanthin attenuates contrast-induced acute kidney injury through silent mating-type information regulation 2 homolog-1/peroxisome proliferator-activated receptor γ co-activator–α/NRF1 signaling pathway

Liang Song,Yang Xu,Yongli Xuan,Di Zheng,Quan Zhang,Wenhua Li

Pharmacognosy Magazine,16(72):733-737
DOI: 10.4103/pm.pm_81_20
Published: February 16, 2021
Read More
Original Article

Isolation, structural characteristics, and in vitro and in vivo antioxidant activity of the acid polysaccharide isolated from Pholiota nameko

Yijun Fan,Ze Chun,Gang Wang,Shangrao Pu,Yuanzhi Pan,Jie Ma,Rongsu Miao,Aoxue Luo

Pharmacognosy Magazine,16(72):738-744
DOI: 10.4103/pm.pm_109_20
Published: February 16, 2021
Read More
Original Article

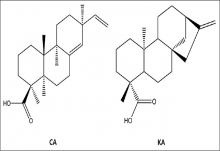
Simultaneous determination of two diterpenoids, continentalic acid and kaurenoic acid, in the water extract of Aralia continentalis and their wound-healing activity

Guijae Yoo1,Taek Hwan Lee,Jae Hyuk Lee,Kyo Bin Kang,Heejung Yang,Yong Kon Park,Sun Yeou Kim,Seung Hyun Kim

Pharmacognosy Magazine,16(72):745-749
DOI: 10.4103/pm.pm_344_20
Published: February 16, 2021
Read More
Original Article

Chemical composition and biological potential of a chloroform fraction from the leaves of marine plant Syringodium filiforme Kützing

Kethia Gonzalez Garcia,David Marrero Delange,Yasnay Hernández Rivera,Yulexi Acosta Suárez,Richard Gutiérrez Cuesta,Mario Riera-Romo,Olga Echemendia,Lívia Macedo Dutra,Jackson Roberto Gu Almeida,Dayana Pérez-martínez,Laurent Picot,Idania Rodeiro Guerra

Pharmacognosy Magazine,16(72):750-756
DOI: 10.4103/pm.pm_24_20
Published: February 16, 2021
Read More
Original Article

Acute oral toxicity studies of methanolic extract and chloroform fraction of methanolic extract of seeds of Annona muricata

Bibu John Kariyil,PT A. Usha

Pharmacognosy Magazine,16(72):757-763
DOI: 10.4103/pm.pm_118_20
Published: February 16, 2021
Read More
Original Article

Ameliorative effect of Tinospora tuberculata in insulin resistance: Potential roles of oxidative stress resistance and heat shock protein 70 (Hsp 70) modulation

PK Lakshmi,Shweta Kumar,Neha Dobriyal,Chandan Sahi,Rajesh Singh Pawar

Pharmacognosy Magazine,16(72):764-773
DOI: 10.4103/pm.pm_366_20
Published: February 16, 2021
Read More
Original Article

Two new xeniolide diterpenes from the soft coral Xenia umbellata; displayed anti proliferative effects

Walied M. Alarif,Mohamed A. Ghandourah,Ahmed Abdel Lateff,Nahed O. Bawakid,Ahmed Abdullah Alotaibi,Mohammad Y. Alfaifi,Serag Eldin I. Elbehairi

Pharmacognosy Magazine,16(72):774-779
DOI: 10.4103/pm.pm_300_20
Published: February 16, 2021
Read More
Original Article

Terfezia claveryi and Terfezia boudieri extracts: An antimicrobial and molecular assay on clinical isolates associated with eye infections

Lorina Ineta Badger-Emeka,Promise Madu Emeka,Saif Aldossari,Hany Ezzat Khalil

Pharmacognosy Magazine,16(72):780-788
DOI: 10.4103/pm.pm_199_20
Published: February 16, 2021
Read More
Original Article

Anti-arthritic effect of neferine on adjuvant-induced experimental arthritis in rats via nuclear factor kappa B signaling pathway

Guoxi Gao,Chao Zhang

Pharmacognosy Magazine,16(72):789-796
DOI: 10.4103/pm.pm_538_19
Published: February 16, 2021
Read More
Original Article

Senna alexandriana mill as a potential inhibitor for quorum sensing-controlled virulence factors and biofilm formation in Pseudomonas aeruginosa PAO1

Manmohit Kalia,Devendra Singh,Deepmala Sharma,Shahid Suhail Narvi,Vishnu Agarwal

Pharmacognosy Magazine,16(72):797-802
DOI: 10.4103/pm.pm_315_20
Published: February 16, 2021
Read More
Original Article

Juglanin attenuated adjuvant-induced arthritis via inactivating NF-κB/IκBα and a disintegrin-like and metalloproteinase domain with thrombospondin-1 repeat pathways in experimental rats

Chao Ning,Shaoqi Ning,Heng Luo,Lei Yan

Pharmacognosy Magazine,16(72):803-811
DOI: 10.4103/pm.pm_106_20
Published: February 16, 2021
Read More
Original Article

Two new flavonoid glycosides isolated from the fruits of Catalpa ovata

Liu-Qiang Zhang,Hai-Bing Xue,Wei-Liang Zhu,Yi-Ming Li,Kai-Xian Chen

Pharmacognosy Magazine,16(72):812-816
DOI: 10.4103/pm.pm_91_20
Published: February 16, 2021
Read More
Original Article

Synergistic and toxicity-attenuating effects of Periplaneta americana extract CII-3 combined with cisplatin on lewis lung cancer-bearing mice

Qiaoling Yang,Mili Shi,Guangming Liu,Fang Peng,Xiaobo Liu,Meixian Guo

Pharmacognosy Magazine,16(72):817-829
DOI: 10.4103/pm.pm_499_19
Published: February 16, 2021
Read More
Original Article

Factorial design-guided optimization of extraction of therapeutically active furanocoumarin khellin from Ammi majus L. fruits

Hina Kausar,Lubna Abidin,Mohd Mujeeb,Mohd Aqil,Ozair Alam

Pharmacognosy Magazine,16(72):830-835
DOI: 10.4103/pm.pm_295_20
Published: February 16, 2021
Read More
Original Article

Inhibitory effects of triterpenoid betulin on inflammatory mediators inducible nitric oxide synthase, cyclooxygenase-2, tumor necrosis factor-alpha, interleukin-6, and proliferating cell nuclear antigen in 1,2-dimethylhydrazine-induced rat colon carcinoge

Jinfeng Yu1,Min Li,Dong Zhan,Chang Shi,Le Fang,Chunmei Ban,Weifeng Zheng,Vishnu Priya Veeraraghavan,Surapaneni Krishna Mohan,Xiaoling Tang

Pharmacognosy Magazine,16(72):836-842
DOI: 10.4103/pm.pm_516_19
Published: February 16, 2021
Read More
Original Article

Antineoplastic potential of eupatilin against benzo[a]pyrene-induced lung carcinogenesis

Yanzhou Han,Zhiqing Zheng,Fanping Liu,Yanqing Tian,Lixin Bi,Sujuan Zhang

Pharmacognosy Magazine,16(72):843-850
DOI: 10.4103/pm.pm_162_20
Published: February 16, 2021
Read More
Original Article

Anti-inflammatory and anti-cell proliferative effects of dieckol in the prevention and treatment of colon cancer induced by 1,2-dimethyl hydrazine in experimental animals

Baoxiu Yang,Ying Li,Zhengbo Yang,Legang Xue,Minqin Zhang,Guoliang Chen,Arunachalam Chinnathambi,Tahani Awad Alahmadi,Xu Liu

Pharmacognosy Magazine,16(72):851-858
DOI: 10.4103/pm.pm_165_20
Published: February 16, 2021
Read More
Original Article

Limonin: A triterpenoid exerts protective effect during lipopolysaccharide stimulated inflammation in BV2 microglial cells

Shiyong Lu,Jixin Zhang,Xuemei Chen,Suresh Mickymaray,Zihao Liu

Pharmacognosy Magazine,16(72):859-864
DOI: 10.4103/pm.pm_304_19
Published: February 16, 2021
Read More